立即注册找回密码

QQ登录

只需一步,快速开始

微信登录

微信扫一扫,快速登录

搜索
小桔灯网 门户 资讯中心 专栏文章 动力彩虹 查看内容

9分钟,98%准确率!自动无扩增RNA检测平台

2022-6-27 16:06| 编辑: 沙糖桔| 查看: 2211| 评论: 0|来源: 小桔灯网 | 作者:动力彩虹

摘要: 研究团队将基于CRISPR的核酸检测和微反应室技术相结合,开发了一个称为SATORI(基于CRISPR的无扩增数字RNA检测)的无扩增RNA检测平台。


自2019年12月新型冠状病毒SARS-CoV-2传播以来,已经过去了两年多,但感染的发生率并未减少。从公共卫生的角度来看,对感染者进行早期诊断和隔离可有效防止感染的传播。快速、敏感和频繁的检测对于早期诊断很重要。对于SARS-CoV-2感染的诊断,逆转录定量聚合酶链反应(RT-qPCR)由于其高灵敏度(~ 2–20am,(1-10 copies/ul))已被用作“金标准”平台。此外,基于CRISPR的核酸检测方法,如SHERLOCK和DETECTR,由于其高灵敏度(~ 2–20am,(1-10 copies/ul)),相对较短的分析时间(几十分钟),并与紧凑的检测平台兼容亦引起关注。大多数基于CRISPR的方法涉及目标核酸的等温扩增,以及使用Cas12a或Cas13a对扩增的核酸进行荧光或比色读出。扩增步骤对于提高检测灵敏度是必不可少的,但它会延长检测时间(至少几十分钟)。


不久之前,研究团队将基于CRISPR的核酸检测和微反应室技术相结合,开发了一个称为SATORI(基于CRISPR的无扩增数字RNA检测)的无扩增RNA检测平台。SATORI可在5min内检测到单链RNA(ssRNA),如SARS-CoV-2 RNA,分析检测限(LoD)约为5fm(3X103 copies/ul),能够在大多数患者临床标本中快速诊断SARS-CoV-2 RNA感染。然而,当用于高效筛查时,LoD应<10 2copies/ul。此外,SATORI还包含几个手动处理步骤,这些步骤可能会导至人为错误并降低分析精度。


近日,为了解决这些问题,同一个研究团队在杂志Communications Biology 上发表了一篇题为“Automated amplification-free digital RNA detection platform for rapid and sensitive SARS-CoV-2 diagnosis”的文章,在文章中,研究团队开发了SATORI的全自动版本,称为SATORI自动化平台(opn-SATORI)。实验结果证明,opn-SATORI可以在临床标本中检测SARS-CoV-2 RNA,其灵敏度与RT-qPCR相当,并且可以在约9min内区分SARS-CoV-2变体,准确率为98%。


图片来源:Communications Biology


主要内容

自动化平台的开发。

为了自动化SATORI检测流程,研究团队开发了一个RNA检测平台,该平台由三个主要组件组成:compact disk(CD)设备、荧光显微镜和机器人(图a)。基于CD的设备包含约10 8个圆柱形飞升级微反应室。与其他数字检测方法不同,opn-SATORI的CD设备不需要微流控通道中复杂的溶液交换过程,可以以全自动方式完成从样品混合到图像分析(图b)。开发的平台自动启用以下检测过程:(i)通过在试管中将含有预装Cas13a crRNA复合物和荧光猝灭基团标记的ssRNA reporters(FQ reporter)的酶溶液与含有crRNA互补ssRNA靶标(tgRNA)的样品溶液混合,制备反应溶液,(ii)将反应溶液滴入CD装置上的小室,(iii)用一滴油密封小室,(iv)积累来自Cas13a介导的FQ reporter裂解(反式裂解),(v)使用荧光显微镜从约500000个微反应室获取图像,以及(vi)计数荧光(阳性)小室的数量,以量化样本中的tgRNA拷贝数(图c)。整个过程可以自动重复,并且可以使用单个反应分析48个样本。


无扩增数字RNA检测的自动化平台。

图片来源:Communications Biology


Cas13a的筛选。

为了提高检测灵敏度,研究团队筛选了Cas13a同源序列并优化了缓冲条件。LwaCas13a和LbuCas13a因其强大的反式切割活性而被用于基于CRISPR的核酸检测。此外,LtrCas13a与LwaCas13a和LbuCas13a高度同源,并与LwaCas13a具有类似的抑制细菌生长的作用。结果表明,使用LtrCas13a及Ltr缓冲液时,阳性小室数量最多,且随着tgRNA浓度(300aM–300fM)增高,Ltr缓冲液中阳性小室的数量呈线性增加。在试验开始后约7分钟(油封后3分钟),LtrCas13a检测到SARS-CoV-2的N基因RNA和全基因组RNA,LoD值分别为220和280 aM(1.3×102和1.7×102copies/ul)。鉴于所获得的快速、灵敏和稳健的反式切割活性,LTRCA13A和Ltr缓冲液的组合最适合用于此RNA检测平台。


提高病毒RNA检测灵敏度。

由于平台检测总体积约为15 nL(500000×~30fL)的微室阵列中随机捕获的tgRNA分子,超过99%的tgRNA分子在油封过程中被丢弃,从而导至灵敏度降低。为了克服这一缺点并进一步提高灵敏度,研究团队使用生物素-链霉亲和素磁珠技术在微腔内富集tgRNA分子。将包被链霉亲和素的磁珠添加到含有生物素标记的LtrCas13a crRNA复合物、tgRNAs和FQ reporter的反应溶液中,以捕获磁珠上的LtrCas13a-crRNA -tgRNA复合物,随后将混合物滴到CD设备上,通过磁力将复合物浓缩到腔室中,并用油密封腔室(图a)。该程序在5min内自动完成,与未经磁珠处理的程序相比,阳性小室的数量增加了约50倍(图b),表明LtrCas13a-crRNA-tgRNA复合物在微室中成功富集。在试验开始后约9分钟(油封后3分钟),平台检测到SARS-CoV-2的N基因RNA和全基因组RNA,LoD值分别为2.4和6.5aM(1.4和3.9 copies/ul)(图d)。


Opn-SATORI平台。 

图片来源:Communications Biology


SARS-CoV-2变异毒株的鉴别。

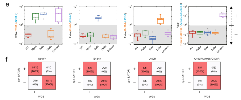
研究团队试图使用opn-SATORI来区分SARS-CoV-2变体。针对相应的变异毒株,即B.1.1.7(α)、B.1.351(β)和B.1.617(δ)中的N501Y、E484K和L452Rspike突变,各设计了20个crRNA,并进行比较筛选。结果显示,在试验开始后约9分钟内(油封后3分钟),WT SARS-CoV-2与每个变体之间的比率存在显著差异,从而能够快速准确地识别SARS-CoV-2变体。不仅如此,B.1.1.529(ο)变体也可以准确区分。总之,这些结果表明,使用opn SATORI和针对特定突变的适当crRNA对可以检测新出现的SARS-CoV-2变体。


SARS-CoV-2变异株的鉴别。

图片来源:Communications Biology


临床验证。

研究团队验证了opn-SATORI是否可用于诊断SARS-CoV-2感染。使用靶向N基因RNA的crRNA,研究团队评估了来自Ct值为15–30(10 WT、10 alpha、10 Japan、10 delta和10 omicron变体)患者的50份人类鼻咽拭子衍生RNA样本和来自健康人的10份RNA样本。样品的阳性室数与RT-qPCR测定的拷贝数(Ct值)相关性良好,相关系数为0.60(图c)。此外,Bland–Altman分析表明,opn-SATORI和RT-qPCR获得的结果具有良好的一致性。opn-SATORI区分了SARS-CoV-2阳性和阴性样本,准确率为98%,阳性准确率为100%。


此外,研究团队通过检测N501Y、E484K、L452R和Q493R/G496S/Q498R spike突变来进行变体鉴别,这些突变已通过全基因组测序(WGS)确认。结果表明,在上述临床样本中检测到N501Y、E484K、L452R和Q493R/G496S/Q498R突变,分别与WGS结果100%、100%、90%和100%一致,从而能够以98%的准确率鉴别SARS-CoV-2变异毒株。这些结果证明了opn-SATORI在快速准确诊断SARS-CoV-2感染方面的潜力。


临床验证。图片来源:Communications Biology


总结和讨论

在这里,研究团队证明了opn-SATORI是一个敏感、快速和自动化的ssRNA检测平台,可以精确诊断SARS-CoV-2及其变体。研究团队将生物素-链霉亲和素磁珠技术集成到平台中,大大提高了opn-SATORI的检测灵敏度。获得的灵敏度(LoD为2.4aM(1.4 copies/ul)比抗原检测高1000倍以上(~17 fM(1.0×10 4copies/ul),并与RT-qPCR(约2-20 aM(约1-10 copies/ul))相当。Opn-SATORI检测SARS-CoV-2 RNA无需扩增,在约9分钟内就能完成检测(从样本混合到图像分析的时间),而RT-qPCR和其他基于CRISPR的方法至少需要几十分钟的检测时间。SATORI基本上不受人类拭子污染物的影响,这表明opn-SATORI可以通过无核酸提取程序而更快、更简单地发挥作用。使用opn-SATORI和适当的crRNA对可以识别单个基因突变,并以高特异性(98%)区分SARS-CoV-2变体。在几天内,研究团队就完成了从针对B.1.1.529(ο)变异体中spike突变的crRNAs设计到成功识别变异体的所有过程,突出了opn-SATORI在有效筛查新出现的SARS-CoV-2变异体方面的效用。


Opn-SATORI的使用可以在社会上实施,并广泛应用于城镇诊所、机场检疫站和其他地方。Opn-SATORI(传统的基于CD的器件)的器件制造成本约为0.01美元/次,检测试剂的成本约为每项检测2美元,与RT-qPCR和抗原检测的成本相当(每项检测1.21-4.39美元)。


由于opn-SATORI平台使用机器人和荧光显微镜,并且相对较大,因此开发一个更紧凑的通用平台非常重要。鉴于基于CRISPR-Cas13a的方法已用于癌症诊断中的miRNA检测,opn SATORI可作为多种应用的多功能平台,包括诊断病毒感染和评估液体活检的疾病相关生物标记物。


声明:
1、凡本网注明“来源:小桔灯网”的所有作品,均为本网合法拥有版权或有权使用的作品,转载需联系授权。
2、凡本网注明“来源:XXX(非小桔灯网)”的作品,均转载自其它媒体,转载目的在于传递更多信息,并不代表本网赞同其观点和对其真实性负责。其版权归原作者所有,如有侵权请联系删除。
3、所有再转载者需自行获得原作者授权并注明来源。

最新评论

关闭

官方推荐 上一条 /3 下一条

客服中心 搜索 洽谈合作
返回顶部