立即注册找回密码

QQ登录

只需一步,快速开始

微信登录

微信扫一扫,快速登录

搜索
小桔灯网 门户 资讯中心 专栏文章 动力彩虹 查看内容

cf-miRNA丨卵巢癌无创诊断和预后的新型生物标志物

2022-8-29 10:02| 编辑: 沙糖桔| 查看: 2195| 评论: 0|来源: 小桔灯网 | 作者:动力彩虹

摘要: 迫切需要识别有效的生物标志物,用于OC的早期筛查、治疗反应和预后。


卵巢癌(OC)是一种高度恶性的疾病,10年生存率不到30%,2020年全球死亡人数超过20万。不幸的是,绝大多数患者患有无法治愈的晚期OC,5年生存率低于20%。相比之下,被诊断为早期OC的女性的OS >90%。目前治疗OC的标准是肿瘤细胞减少手术,然后主要基于化疗方案。然而,大约一半的患者会对化疗产生耐药性或复发。Anti-VEGF抗体贝伐单抗,加上化疗等新组合,可将晚期患者的中位无进展生存期提高4个月。因此,迫切需要识别有效的生物标志物,用于OC的早期筛查、治疗反应和预后。


血清肿瘤标志物癌抗原125(CA-125)在早期OC中的敏感性低于60%,在晚期OC中的灵敏度高达80%,是当前OC诊断和监测的金标准生物标志物。此外,CA-125在良性疾病中具有较高的假阳性率,导至过度诊断性手术。虽然CA-125是一种有吸引力的OC非侵入性标记物,但必须提高其敏感性和特异性,以将其作为筛查标记物,尤其是在早期疾病中。基于血液的生物标志物的组合可能是改善当前护理标准的一个很好的解决方案。例如,一组血浆中的DNA突变和蛋白质,包括CA-125,能够检测五种不同的癌症类型,灵敏度为69–98%,特异性>99%。


循环无细胞 microRNA(cf-miRNA)已成为一类新的有前途的微创临床生物标志物,用于癌症患者的特征分析。microRNA是长度为20-25个核苷酸的非编码RNA,能够通过抑制翻译或mRNA降解来调节蛋白质编码基因。它们在细胞核中转录并输出到细胞质,形成成熟的miRNA。cf-miRNA在体液(如血浆)中非常稳定,因此使其成为早期癌症检测的理想无创诊断工具。


虽然许多单个cf-miRNA被描述为OC诊断和预后的潜在生物标志物,但缺乏标准方案阻碍了其临床应用。研究表明,基于所使用的miRNA提取方法以及不同实验室,cf-miRNA具有表达差异。特别是,由于缺乏用于数据归一化的稳定的内参对照,qPCR具有挑战性。因此,新的检测方法,如下一代测序(NGS)或微滴数字PCR,是个性化医学时代极具吸引力的解决方案。


近日,一个来自德国的研究团队在杂志British Journal of Cancer上发表了一篇题为“A novel circulating miRNA panel for non-invasive ovarian cancer diagnosis and prognosis”的文章,在这项探索性病例对照研究中,研究团队评估了诊断时血浆cf-miRNA水平是否能够区分OC的临床特征,并预测患者将复发和/或死于该疾病。利用NGS数据,研究团队确定了一个由7个cf-miRNA组成的panel特征,可以与CA-125结合作为早期OC诊断。


图片来源:British Journal of Cancer


主要内容

……

队列特征


该队列(n=244)包括100例卵巢癌患者,主要为浆液性腺癌(n=80),99例年龄匹配的健康对照组和45例卵巢良性病变患者,如下表所示。大多数患者表现为晚期FIGO III-IV期(n=69),级别3级(n=74)和更大的肿瘤(T3 n=53)。随访信息收集时间为诊断后3.8年,平均1.8年。在随访期间,31名患者被诊断为进展性疾病,15名患者死于疾病。


队列特征。图片来源:British Journal of Cancer


较高的cf-miRNA水平与不良临床特征相关


虽然已经在OC中研究了许多单个cf-miRNA,但迄今为止很少有研究涉及cf-miRNAs整体水平的影响。为了评估整体cf miRNA水平的增加是否与OC的临床特征相关,根据中位数将患者分为“低”或“高”cf miRNA组。根据cf-miRNA水平的临床病理特征如下表所示。CA-125水平在35U/ml被认为是OC的适当cut-off值。癌症诊断时较高的cf-miRNA水平与较高的CA-125(P=0.02)和远处转移(P=0.04)的存在显著相关。此外,尽管未达到显著性,更高的cf-miRNA水平与晚期FIGO阶段(P=0.08)、更大的肿瘤大小(P=0.06)和术后残留肿瘤的存在(P=1.07)相关。有趣的是,高水平的cf-miRNA与患者的死亡最显著相关(P=0.0001),但与复发无关。


根据cf miRNA水平的患者临床病理特征。图片来源:British Journal of Cancer


总cf-miRNA是卵巢癌生存的独立预后指标


因为循环中较高水平的miRNA与OC的不良临床特征相关,假设它们也可能对预后产生影响。为此对癌症队列中的总生存率(OS)和无进展生存率(PFS)进行了Kaplan–Meier分析。诊断后3年和8个月的随访信息可用(中位时间为1年8个月)。基线cf-miRNA水平较高与OS显著相关(P=0.001,图a),但与PFS无关。如果只对FIGO I-III患者进行了相同的分析,也可以得到相同的结果(P=0.0035,图b)。为了验证这些发现,进行了单变量和多变量Cox回归分析。将患者年龄、肿瘤分级、FIGO分期、残余肿瘤和CA-125作为结果变量。结果显示,在单变量(HR 1.89,P=0.00007)和多变量(HR 1.83,P=0.001)分析(图c)中,cf miRNA水平对于OS具有高度显著性,证实总cf miRNA是OC患者生存的独立预后标志物。


循环miRNA是OC的独立预后标志物。图片来源:British Journal of Cancer


用于OC诊断的七个cf-miRNA组成的panel


由于总cf miRNA水平对OC生存率有显著的预后影响,假设它们也可能具有诊断潜力。为此,比较了健康对照组、良性和癌症患者三组的cf-miRNA水平。结果显示三组之间没有显著差异,表明cf-miRNA水平不是OC的适当诊断标志物。


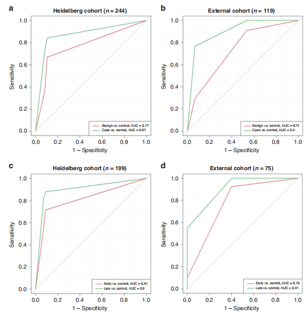
研究团队选择了9个可能在OC中具有诊断潜力的候选cf miRNA。首先在将对照组与良性疾病或癌症病例进行比较时测试了每个miRNA的影响。研究团队最终确认了miR-92a、-200c、-320b、-320c、-335、-375、-486的七个miR特征,用于进一步分析。最终的7-miR特征可以区分对照组和良性病例,预测曲线下面积(AUC)为0.77;区分OC病例,AUC为0.87(图a)。接下来评估cf-miRNA在早期OC中的诊断潜力。有趣的是,cf-miRNA标记可以检测AUC为0.81的早期癌症病例,对于晚期疾病,AUC增加到0.9(图c)。结果可在外部队列中重现(图b,d)。


7-miR panel 预测OC病例结果。图片来源:British Journal of Cancer


cf-miRNA结合CA-125用于早期OC检测


最后,研究团队询问是否可以通过添加当前的金标准生物标志物CA-125来提高cf-miRNA的诊断能力。结合CA-125,7-miR标记可以将的OC病例与对照组区分开来,AUC为0.97,早期OC的AUC为0.93。这一结果突出了cf-miRNA在改善早期OC的当前诊断方法方面的潜力,这可能对疾病进展产生真正的影响。


cf-miRNA联合CA-125用于OC诊断。图片来源:British Journal of Cancer


总结与讨论


在本研究中,研究团队验证了cf-miRNA作为OC诊断和预后标志物的潜力。结果首次表明,总cf miRNA水平与OC的不良临床特征相关,是独立的生存预后标志物。此外,由七个cf miRNA组成的panel可以以0.87的AUC区分癌症病例和健康对照,通过添加CA-125,AUC进一步提高到0.97,并以0.93的AUC用于早期OC检测。这个发现突出了cf-miRNA在OC诊断和预后中的潜力。


对于总的cf-miRNA水平,研究团队使用了简单的Qubit仪器,该仪器可以很容易地在临床上使用,成本低,并且只需要不到1ml的血液。此外,cf-miRNA在血液中非常稳定,这使其成为理想的液体活检标记物。结果证实了cf-miRNA在OC的当前标准诊断中具有巨大的应用潜力。通过实施一项简单的血液检测,可以在早期发现高危或疑似OC的妇女,此时存活率最高。


此研究的一个主要限制是,没有进行自己的miRNA分析,而是依赖另一项研究的数据。另一方面,外部数据作为验证队列。外部数据集基于NGS,这限制了qPCR分析的任何潜在技术偏差。此外,随访时间相对较短,这可能阻碍了预后研究。癌症队列也不平衡,晚期浆液性癌的比例过高。然而,与类似研究和年龄匹配的对照队列相比,此研究有相当大的样本量进行精确分析。


总之,此发现为临床评估基于cf-miRNA的液体活检诊断OC和预后以及当前的护理标准铺平了道路。应在前瞻性更大规模临床研究中评估结果,以确定女性的临床效用。


声明:
1、凡本网注明“来源:小桔灯网”的所有作品,均为本网合法拥有版权或有权使用的作品,转载需联系授权。
2、凡本网注明“来源:XXX(非小桔灯网)”的作品,均转载自其它媒体,转载目的在于传递更多信息,并不代表本网赞同其观点和对其真实性负责。其版权归原作者所有,如有侵权请联系删除。
3、所有再转载者需自行获得原作者授权并注明来源。

最新评论

关闭

官方推荐 上一条 /3 下一条

客服中心 搜索 洽谈合作
返回顶部