立即注册找回密码

QQ登录

只需一步,快速开始

微信登录

微信扫一扫,快速登录

搜索
小桔灯网 门户 资讯中心 专栏文章 动力彩虹 查看内容

低成本高准确率秒杀Microarray!创新技术用于HPV基因分型

2022-9-14 10:03| 编辑: 沙糖桔| 查看: 2474| 评论: 0|来源: 小桔灯网 | 作者:动力彩虹

摘要: 人类乳头状瘤病毒(HPV)是女性第二大癌症宫颈癌的主要致病因素。


  //  

人类乳头状瘤病毒(HPV)是女性第二大癌症宫颈癌的主要致病因素。由于其高度多样性,人类乳头状肿瘤病毒的基因分型具有挑战性。确定这种病毒的基因型在打破感染传播周期、治疗管理和疫苗开发方面起着至关重要的作用,导至避免癌症的发生。当通过PCR和深度测序分析宫颈癌时,HPV在宫颈癌样本中的检出率>92%。


HPV对女性的严重危险及其与不同癌症的关系必然需要通过敏感和快速的方法进行基因分型。在各种研究中,已尝试通过核苷酸测序、DNA芯片、杂交、反向线点(RLB)分析、通用或特异性探针、liquid bead microarray assay(LBM)等对HPV进行基因分型。DNA测序是准确病毒分型的金标准测定方法;microarray提供了基因型特异性信息,可以检测混合型HPV感染的存在,但这两种技术都很昂贵,而且检测点也非随处可见。与上述两种方法相比,杂交DNA-RNA方法可检测13种高危人乳头瘤病毒,但没有其类型特异性。RLB测定法的重复性有限,除了高费用外,建立起来也很困难。


还有其他快速和准确的方法,如基于探针的方法,但由于价格很昂贵,不能用作常规筛选方法。由于为基因型特异性PCR设计多个兼容引物集具有挑战性,因此在单个检测中可检测到的人乳头瘤病毒的最大种类相对有限。因此,qPCR和高分辨率熔解(HRM)两种技术的组合可用于基因分型。qPCR的一个优点是,用于进行PCR后高分辨率熔解曲线分析提供了关于特异性的额外信息。特别是对于具有高度同源性的靶,如HPV,熔解温度的额外细节,对于减少假阳性是有价值的。HRM是研究基因组中SNP、插入和/或缺失等遗传变异的最有力方法之一。该方法的基本原理是核酸序列的微小变化导至熔解曲线的可检测改变,以及扩增PCR序列的差异。这一特征在基因分型和其他应用中具有重要作用,包括发现基因变异、突变筛查、甲基化分析等。


近日,来自伊朗阿富汗的一组研究团队在杂志Scientific reports上发表了一篇题为“Discrimination of human papillomavirus genotypes using innovative technique nested-high  resolution melting”的文章,在文章中,研究团队设计了一种nested HRM技术,并使用通过microarray以及诊断标准鉴定出的HPV阳性样本对qPCR-HRM进行评估,并对不一致的结果进行测序。研究团队的目标是设计一种快速、敏感、特异和成本效益高的宫颈癌样本HPV基因型诊断新方法。


图片来源:Scientific reports


主要内容

一、DNA分析和引物设计。


成功提取了宫颈组织DNA,基因组DNA浓度范围为50至387 ng/μl。此外,所有DNA样本平均A260/A280比率约为1.82,这表明DNA纯度高。在所有样品中观察到β-actin基因,作为大小为120 bp的内部提取对照。


使用简并引物FRG5和MY09对HPV L1区进行PCR扩增,可检测出100个HPV阳性样本。另一对引物FRG5/FRG2扩增了215–221 bp的HPV L1区域,相应的扩增子产生了多达七种不同的HPV基因型(6、16、18、52、59、66和89)。


二、semi-nested qPCR-HRM可区分HPV6、16、18、52、59、66和89


FRG5/2引物的semi-nested qPCR-HRM显示Tm可区分HPV16、52、59、66和89。HPV16,52、59和66被分类为高风险,HPV89被分类为低/无风险。然而,HPV 18和HPV 6显示出非常相似的熔解曲线,尽管在所选的FRG2/5区域中显示了61个碱基差异和72.4%的核苷酸相似性。


为了区分HPV 18和6,将未标记的prob18添加到反应混合物中,并作为第二种方法重复测试。在HPV6质粒中观察到两个峰,从而能够区分HPV18。


在第三种方法中,反应混合物中添加GP5+引物,以观察该单一引物对HPV基因型的识别效果。令人惊讶的是,FRG2/FRG5和GP5+引物区分了HPV 6和HPV18。该方法用于通过microarray鉴定的HPV阳性样本,观察结果表明结果是可重复的。


semi-nested qPCR-HRM区分HPV6、16、18、52、59、66和89。图片来源:Scientific reports


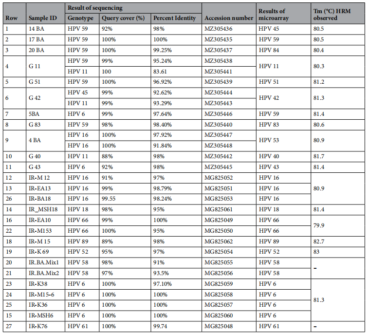
三、nested HRM与microarray的不一致


使用microarray和诊断标准对HPV阳性样本进行基因分型的结果与nested HRM分型结果有不一致的地方。为了澄清创新技术nested HRM和microarray产生的矛盾,将PCR产物发送测序。


4 BA

分离物4 BA的序列(microarray分型为HPV 53;nested qPCR HRM分型为HPV 16)显示了在进行blast时与HPV 16型的最高相似性。来自HPV16和HPV53的218bp和215bp FRG5/2扩增子的生物信息学分析显示30.28%的核苷酸差异,其显著性足以不被认为是测序错误。


G45

microarray将分离物G45基因分型为HPV45,但具有与HPV 59相似的温度模式,在NCBI数据库(MZ305436)中对测序结果进行分析后,确定为HPV 59。


G83和20BA

microarray将G83和20BA基因分型为HPV 83和HPV 84,但是桑格测序结果确认为HPV 59。而在生物信息学上,HPV83和HPV84中使用FRG2/FRG5引物的扩增区与HPV 59的相似性分别为69.68%和75.11%。


G11

分离物G11的HPV DNA被测序确认为HPV 11和59的混合物,其在方法1和2中具有相似的熔解曲线。两种基因型在65个碱基上存在差异,在诊断区域具有70.72%的相似性,生物信息学预测,它们可以通过0.6°C的熔融温度差异进行区分。


G42

microarray方法将G42分离物基因分型为HPV42,但测序结果认为是HPV 11和45型的混合。基因型11和45分别与基因型42具有72.09%和71.88%的同一性。


G40

此外,microarray方法将G40分离物基因分型为HPV40,通过测序确认为HPV 11。两种基因型的熔解温度在生物信息学方面相差约1.5度,其在扩增区的序列具有71个碱基差异和68.30%的同一性。


5BA和G43

microarray方法将5BA和G43分型为HPV 59和43。测序后,两个分离株均被确认为HPV 6。检测这两个样品的第一种方法显示相同的熔解曲线。


三种方法(微阵列、测序和HRM)对阳性样本中的HPV进行基因分型。图片来源:Scientific reports


四、总结与讨论


由于识别低风险基因型、高风险基因型和混合感染的重要性,需要一种快速且成本有效的方法来解决HPV基因分型障碍。宫颈癌是女性第二常见恶性肿瘤,严重威胁女性健康。对符合条件的高危人群进行宫颈癌筛查,以及对HPV基因型的鉴定,对于疾病的预防、诊断和早期治疗至关重要。考虑到上述因素,基于熔解曲线,特别是HRM,可以作为同时识别和区分HPV基因型的替代方法。这种方法非常有前景,因为与市场上的常规方法相比,它们提供了可接受的结果,且时间和成本都较低。


研究区域中两种主要致癌基因型HPV18和HPV16以及主要基因型HPV 6的分离是研究中的一个重要障碍。研究团队在第二种方法中使用了未标记的HPV18探针,目的是区分HPV18和HPV6。尽管以测序方法作为金标准的方法的结果表明,研究团队的测定方法取得了高度成功,但将使用microarray方法进行比较时,分型结果出现了差异。比较所有三种方法,nested qPCR-HRM、桑格测序和microarray,显示nested qCR-HRM方法几乎与桑格测序金标准诊断方法结果一致。


这个研究的局限性在于研究中涉及到的HPV基因型有限,不同HPV基因类型的大规模分型有限。预计未来通过获得更多的基因型,可以进一步评估和分析该方法。


总之,研究团队通过nested qPCR的Tm值和HRM分析评估了HPV基因分型的有效性,该分析显示了不同人乳头瘤病毒的不同熔化曲线。这种方法有可能提高对七种HPV基因型(包括HPV 16和HPV 18)作为宫颈癌致癌物的区分。该分析可适用于分子实验室中检测HPV DNA的常规分析,作为巴氏涂片检查的替代,并实现有效的治疗管理,这对于在低资源地区成功实施妇女健康计划非常实用。这项技术既简单又快速,具有较高的灵敏度和特异性。

声明:
1、凡本网注明“来源:小桔灯网”的所有作品,均为本网合法拥有版权或有权使用的作品,转载需联系授权。
2、凡本网注明“来源:XXX(非小桔灯网)”的作品,均转载自其它媒体,转载目的在于传递更多信息,并不代表本网赞同其观点和对其真实性负责。其版权归原作者所有,如有侵权请联系删除。
3、所有再转载者需自行获得原作者授权并注明来源。

最新评论

关闭

官方推荐 上一条 /3 下一条

客服中心 搜索 洽谈合作
返回顶部