立即注册找回密码

QQ登录

只需一步,快速开始

微信登录

微信扫一扫,快速登录

搜索
小桔灯网 门户 资讯中心 专栏文章 动力彩虹 查看内容

IVD前沿丨尿液生物标志物预测前列腺癌和PI-RADS评分

2024-8-27 16:21| 编辑: 沙糖桔| 查看: 1669| 评论: 0|来源: 小桔灯网 | 作者:动力彩虹

摘要: 在这项研究中,作者分析了质谱(MS)筛选数据

基于血清前列腺特异性抗原(PSA)水平的前列腺癌(PCa)筛查受特异性和敏感性低的限制。低特异性导至大量无前列腺癌的男性接受不必要的前列腺活检,低敏感性反映在15%的前列腺癌病例发生在血清PSA水平正常的男性中。多参数磁共振成像(mpMRI)和前列腺成像报告和数据系统(PI-RADS)的采用改善了患者对活检的选择,但对某些病变的解释可能是模棱两可的,其应用受到成本和可用性的限制。



近日,杂志Scientific reports上发表了一篇题为“Urine biomarkers can predict prostate cancer and PI-RADS score prior to biopsy”的文章。在这项研究中,作者分析了质谱(MS)筛选数据,以确定可以预测PI-RADS评分的潜在尿液生物标志物。通过ELISA对六种生物标志物进行了验证,研究了它们与PI-RADS评分的联用是否能改善PCa的早期预测,并在一个独立的验证队列中证实了这些结果。

图片来源:Scientific reports




主要内容

入组患者信息

本研究共纳入99例疑似前列腺癌患者,并在收集尿液样本后进行前列腺活检。招募的前45名患者被分配到发现队列。他们的尿液样本用质谱法和ELISA法进行了定量分析。54名患者被分配到验证队列,样本仅通过ELISA进行分析。PSA和PI-RADS检测PCa的性能如下图A-C所示。


入组患者信息。图片来源:Scientific reports


尿液生物标志物可预测PI-RADS评分

和前列腺肿瘤的存在

比较PI-RADS评分为1-2和3-5的患者样本中2651个蛋白的丰度(质谱),得出78个候选生物标志物(图D)。78个候选物中,有28个可以一致地预测PI-RADS(3-5),PCa (GS 6-9)和临床意义显著的肿瘤(GS 7-9)(图E)。其中AMBP,CD99,HRNR,KRT13,LYVE1和SPARCL1这6种标志物有商用ELISA试剂盒可进一步验证。


6个尿液生物标志物,可鉴定PCa和预测PI-RADS评分。

图片来源:Scientific reports


PI-RADS评分的生物标志物的联用分析

28个生物标志物中AMBP,CD99,HRNR,KRT13,LYVE1和SPARCL1这6种标志物有商用ELISA试剂盒可进一步验证。ELISA定量分析表明,所有六种生物标志物都具有预测PI-RADS评分和检测PCa的潜力。Spearman’s rank相关分析表明它们是独立的,联用可提高测试的性能。作者将变量的数量限制在4个(用于PCa预测)和3个(用于PI-RADS),以避免统计分析的过度拟合,结果显示所有组合在预测PI-RADS的AUC方面都有良好的表现(图B)。


PI-RADS评分的生物标志物的联用分析。

图片来源:Scientific reports


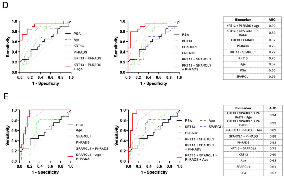
前列腺癌(PCa)检测的生物标志物联用分析

在用于检测所有级别PCa的联用ELISA分析中,作者还纳入了高效生物标志物PEDF、HPX、CANX和FCER2。Normalized KRT13识别PCa的AUC为0.81,特异性为43.5% (敏感度为100%)。此外,与PI-RADS联合使用可提高PI-RADS评分的表现 (图D)。如KRT13 + SPARCL1 + PI-RADS的AUC为0.89,特异性为31.8% (敏感度为100%)。再加上年龄,AUC提高到0.91,特异性分别为31.8%和72.7% (敏感性分别为100%和90%)。


对于临床显著性前列腺癌的检测,生物标志物优于血清PSA,例如PEDF + FCER2 + age的AUC为0.78,100%敏感性下的特异性为40.7%。SPARCL1 + PI-RADS的AUC为0.88,特异性为74.1% (敏感性为100%)。还可进一步提高了特异性:SPARCL1 + KRT13 + PI-RADS的AUC为0.93,特异性为77.8% (图E)。


前列腺癌(PCa)检测的生物标志物联用分析。

图片来源:Scientific reports


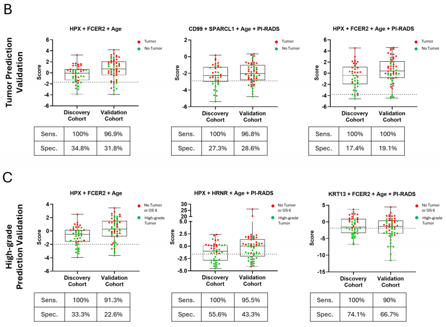
验证队列证实了预测PI-RADS评分

和前列腺癌的能力

将算法应用于验证队列的结果对应于100%和90%的敏感度阈值,证实了所选尿液生物标志物预测PI-RADS评分的能力(图A)。对所有级别PCa和临床显著肿瘤的预测验证见下图B和C。


验证队列证实了预测PI-RADS评分和前列腺癌的能力。

图片来源:Scientific reports


总结和讨论

作者通过质谱和ELISA确定了六种生物标志物,它们能够高效地预测PI-RADS评分。可使相关数量的男性免于不必要且昂贵的PI-RADS和mpMRI检查。这些患者会被建议进行前列腺活检,对低收入国家尤其有利。对于前列腺癌的检测,尿液生物标志物显示出更高的特异性,灵敏度为100%,这是非侵入性筛查试验的关键特征,因为它应该旨在识别未受疾病影响的个体,避免多达47.8%的无前列腺癌男性进行不必要的前列腺活检。


但本研究有一定的局限性。首先,这是一项前瞻性的单中心研究,发现队列和验证队列的样本量都很小,而且PI-RADS评分的患病率不平衡,削弱了算法的性能。在更大的队列中进行分析对于确定生物标志物的最佳组合至关重要。尽管存在局限性,但本研究作为概念验证,概述了尿液生物标志物的潜力,以及MS筛选识别潜在尿液生物标志物的可靠性和可行性。未来的研究将需要调查更大的队列,以确认生物标志物的真正筛选或诊断性能。


可以设想,这样的尿液测试可以作为一线筛选测试来确定哪些患者将受益于mpMRI。在不推荐mpMRI的情况下,单独的尿液检查可以作为一种工具,以达到高性能的前列腺活检建议。或者,尿液测试可以与PI-RADS评分相结合,这将提高对任何级别或高级别PCa的总体预测性能。因此,该测试可用于识别无前列腺癌的男性或患者,这些患者将受益于主动监测而不是主动治疗,为监测低级别前列腺癌提供了一种简单、经济、无创的方法。


声明:
1、凡本网注明“来源:小桔灯网”的所有作品,均为本网合法拥有版权或有权使用的作品,转载需联系授权。
2、凡本网注明“来源:XXX(非小桔灯网)”的作品,均转载自其它媒体,转载目的在于传递更多信息,并不代表本网赞同其观点和对其真实性负责。其版权归原作者所有,如有侵权请联系删除。
3、所有再转载者需自行获得原作者授权并注明来源。

最新评论

关闭

官方推荐 上一条 /3 下一条

客服中心 搜索 洽谈合作
返回顶部