立即注册找回密码

QQ登录

只需一步,快速开始

微信登录

微信扫一扫,快速登录

搜索
小桔灯网 门户 资讯中心 专栏文章 动力彩虹 查看内容

IVD前沿丨血清挥发性有机物可高效进行食管癌诊断

2024-9-3 15:49| 编辑: 沙糖桔| 查看: 1838| 评论: 0|来源: 小桔灯网 | 作者:动力彩虹

摘要: 食管癌(EC)是一种常见的胃肠道肿瘤。

食管癌(EC)是一种常见的胃肠道肿瘤。其发病不明显,早期缺乏特异性症状,这意味着大多数患者在进入临床时已处于疾病的晚期,5年生存率约为15 - 25%。目前,内镜联合组织病理学是诊断和治疗EC患者最常用的方法,但耗时且复杂,不能用于早期EC的普遍筛查。血清肿瘤标志物分析是一种简单、经济的诊断方法,但目前的标志物,包括CEA、CA 19-9和CA 12-5,敏感性和特异性较低,不能用于EC的早期诊断。


挥发性有机化合物(VOCs)可由人体内多种不同的生化反应产生,如细胞死亡、氧化应激或炎症。有研究报道,癌细胞和健康细胞在人体代谢活动中产生不同的VOCs,不同肿瘤细胞类型产生的VOCs也是可区分的。


近日,杂志Scientific reports上发表了一篇题为“Serum-volatile organic compounds in the diagnostics of esophageal cancer”的文章。在这项研究中,作者采用气相色谱-离子迁移谱法(GC-IMS)检测和分析EC患者的血清代谢物来识别特定的VOCs。所有患者血清样品共可检测到33个物质峰。ROC分析显示,四种机器学习模型在促进EC诊断方面是有效的。随机森林模型对5种VOCs的AUC为0.951,灵敏度和特异性分别为94.1%和96.0%。

图片来源:Scientific reports


主要内容


参与者的特征


总体研究设计如下图所示。训练组和测试组在年龄、性别方面没有显著差异。在训练集和测试集中,两组在吸烟和饮酒的人的比例方面大致一致。与HC组相比,EC组中老年人、有吸烟史和饮酒史的比例更大。


研究设计流程图。图片来源:Scientific reports



EC患者和HC患者VOC谱分析


通过GC-IMS方法表征每个血清样品的VOC信号峰(图A)。提取信号峰位置的二维坐标来表征化合物,同时获得峰高数据(图B)。作者最终从所有训练集血清样本中初步筛选出33个VOC信号峰。


在EC和HC中检测到的血清VOC含量。

图片来源:Scientific reports



基于机器学习算法的

血清VOCs诊断性能研究


采用四种机器学习方法(RF、NN、SVM、DT)对上述33种VOCs的峰高数据进行分析。在测试集研究中,RF、NN和SVM模型的AUC都达到了0.9或更高。其中,RF的AUC最高,为0.971,灵敏度为94.1%,特异性为100%。


利用机器学习算法对挥发性有机物的诊断性能进行分析。

图片来源:Scientific reports



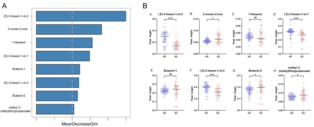
用随机森林分析预估

血清挥发性有机化合物的重要性


如图A所示,通过RF模型分析得出了排名前8位的峰值高度。图B显示了EC患者与HC的前8种VOCs峰值高度的差异。其中包括三种上调的VOCs (3-nonen-2-one, Butanol-2, methyl 3-(methylthio) propanoate),和三种下调的VOCs  ((E)-3-hexen-1-ol-1, (E)-3-hexen-1-ol-2, (E)-3-hexen-1-ol-3)。总的来说,确定的八个峰值高度对应于五种不同的VOC物质。


使用RF结合鉴定的五种VOCs构建的模型的AUC为0.951,灵敏度为94.1%,特异性为96.0%。此外,5-VOC模型促进了I-IV期EC组患者与HC的有效分离。


使用随机森林分析估计血清挥发性有机物的重要性。

图片来源:Scientific reports



血清生物标志物和病理参数


通过RF算法建模得到的8-VOCs的进一步分析。(E)-3-hexen-1-ol-2, (E)-3-hexen-1-ol-1 and (E)-3-hexen-1-ol-3在EC I-IV期与HC患者中的水平有显著差异。此外,3-nonen-2-one, 1-Hexanol, Butanol-1, Butanol-2, and methyl 3-(methylthio)propanoate在HC和EC患者之间主要在III期和IV期表现出差异。



总结与讨论


在这项研究中,用GC-IMS测定了血清VOC水平,并鉴定了EC的血清生物标志物。作者最终确定了5种VOCs用于构建EC的早期诊断模型,它们是(E)-3-hexen-1-ol, 1-Hexanol, 3-nonen-2-one, Butanol, and methyl 3-(methylthio)propanoate。这些化合物主要可分为醇类和酮类。其他研究人员已经在不同的人群中发现了同类化合物的变化。比如,环己酮是一种重要的与癌症相关的VOC,在胆囊癌患者的胆汁中显著上调。此外,已经在多种癌症中观察到酒精VOC水平的变化,确切的生理机制过程有待进一步研究。在本研究中,应用四种机器学习算法构建了EC诊断模型,分析EC患者血清的异质信号模式。总体而言,基于RF算法建立的5-VOC模型AUC为0.951,灵敏度为94.1,特异度为96.0%。



本研究的局限性

本研究的一个局限性是,研究结果中挥发性有机化合物的特定代谢生成途径尚未确定。此外,筛选到的血清生物标志物与EC之间的代谢关系及其未来的临床诊断价值还有待进一步探索。研究中纳入的对照人群相对于疾病组更年轻,而肿瘤患者在诊断时年龄更大,这可能对结果有一定影响。此外,需要更多的临床样本进行验证。

声明:
1、凡本网注明“来源:小桔灯网”的所有作品,均为本网合法拥有版权或有权使用的作品,转载需联系授权。
2、凡本网注明“来源:XXX(非小桔灯网)”的作品,均转载自其它媒体,转载目的在于传递更多信息,并不代表本网赞同其观点和对其真实性负责。其版权归原作者所有,如有侵权请联系删除。
3、所有再转载者需自行获得原作者授权并注明来源。

最新评论

关闭

官方推荐 上一条 /3 下一条

客服中心 搜索 洽谈合作
返回顶部