化学发光原理,及免疫测定原理!
2024-12-4 15:27|
编辑: 沙糖桔|
查看: 5145|
评论: 0|来源: IVD共修
摘要: 捕获法检测IgM抗体具有高特异性和灵敏度,适合早期感染的诊断
| 化学发光免疫分析法(CLIA)结合了高特异性的免疫反应和高灵敏度的化学发光,因此灵敏度和特异性都较高。其基本原理是,反应体系中的发光物质,在一定的条件下发生化学反应释放能量,产生激发态中间体。这些激发态中间体不稳定,返回基态时,会发射光子。通过测量发光信号,并与标准曲线进行比对,则可以计算出样品中待测物质的浓度。化学发光免疫分析法根据发光原理不同,可以分为直接化学发光法、酶促化学发光法和电化学发光法。
分类 | 示踪物 | 底物 | 发光物质 | 发光类型 | 代表厂家 | 直接化学发光法 | 异鲁米诺(ABEI) | NaOH、H2O2 | 异鲁米诺(ABEI) | 闪光型,发光时间短,波长470nm | 新产业、索灵 | 吖啶酯(AE) | NaOH、H2O2 | 吖啶酯(AE) | Abbott、亚辉龙、迈克、西门子 | 酶促化学发光法 | 碱性磷酸酶(ALP) | 1,2-二氧环己烷衍生物(AMPPD) | AMPPD及其衍生物 | 辉光型,发光时间长,波长425nm | 迈瑞、贝克曼 | 辣根过氧化物酶(HRP) | 鲁米诺及其衍生物 | 鲁米诺及其衍生物 | 辉光型,发光时间长,波长425nm | 安图、强生 | 电化学发光法 | 三联吡啶钌 | 三丙胺(TPA) | 三联吡啶钌 | 可以持续稳定的发光,波长610nm | 罗氏、普门 |
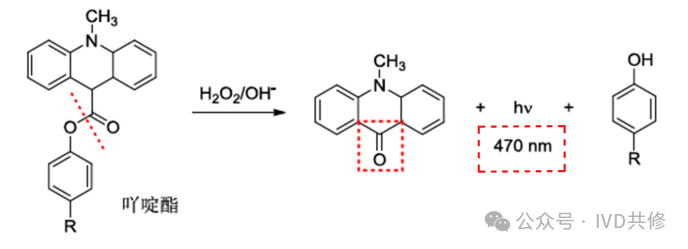
直接化学发光法的特点为示踪物直接标记在抗体、抗原、配体或受体上。标记物中的示踪物不需要酶的催化作用,在碱性条件下直接发光。目前最常见的直接化学发光示踪物主要有吖啶酯和异鲁米诺(ABEI)。具体发光原理为:在碱性H2O2溶液中,吖啶酯分子受到过氧化氢离子的攻击时,吖啶环上的取代基与C-9和H2O2形成不稳定的二氧乙烷,随后二氧乙烷分解为CO2和电子激发态的N-甲基吖啶酮。在含有H2O2的稀碱性溶液中,吖啶酯或吖啶磺酰胺类化合物能够发光,无需催化剂,且发光系统简便。这类化合物的发光特性为闪光型,加入发光启动试剂后约0.4秒内光强达到最大,半衰期约为0.9秒,极为高效。吖啶酯发光波长为470nm。反应快速,检测时间短。为了增强吖啶酯或吖啶磺酰胺类化合物的化学发光强度,常在发光启动试剂中添加Triton X-100、CTAC、Tween-20等表面活性剂。直接化学发光法示踪物为化学合成,成本较低;在无示踪物的情况下,底物不能单独发光,因此本底较低;示踪物分子量较小,空间位阻较小,标记量适度提升。(个人观点,仅供参考)
酶促化学发光免疫分析主要是将酶标记在抗原、抗体、配体或受体上进行免疫反应,随后免疫复合物上的酶作用于发光底物产生发光,最终通过发光信号测定仪进行测定。化学发光的强度由酶的浓度决定。辣根过氧化物酶(HRP)和碱性磷酸酶(ALP)是常用的标记酶,而鲁米诺和AMPPD则是代表性的发光底物。 鲁米诺是一种强效的化学发光物质,通常在中性溶液中以偶极离子(两性离子)形式存在。在碱性溶液中,它转变为二价负离子,并可被氧分子氧化为能产生化学发光的中间体。在氧化剂的作用下,鲁米诺被转化为激发态,随后激发态衰变回基态并发出荧光。鲁米诺发光的原理与羰基化合物的亲核加成相关,产生的荧光为蓝光,波长为425nm左右。这类化合物的发光特性为辉光型,发光时间可持续30~60min,启动发光反应后约2min发光强度达到最大。因此反应时间较长。由于底物在没有酶的情况下也有一定的发光因此一般本底较高;酶促反应可以放大发光过程,酶促化学发光一般灵敏度较高(样本的阴阳性分的较开);酶促化学发光对酶的纯度和工艺较高,标记物成本会略高;酶分子量较大,可能引起免疫反应导至产生抗体,需要警惕酶分子引起的假阳性。(个人观点,仅供参考)
电化学发光法是将电化学发光剂三联吡啶钌[Ru(bpy)3]2+标记抗原、抗体、配体或受体。当在电极上施加一定的电压或电流时,电极上的电化学发光剂三联吡啶钌[Ru(bpy)3]2+与电子供体三丙胺(TPA)发生化学反应,产生激发态。激发态返回基态时释放能量,发光波长为610nm左右。电极表面的电化学反应和化学发光过程可以循环进行。可以通过增加循环次数放大信号,检测灵敏度大大提高,故电化学发光检测具有高灵敏度的特点。(个人观点,仅供参考)
免疫测定原理-夹心法夹心法根据检测物质的不同可以分为双抗体夹心法和双抗原夹心法。
双抗体夹心法:样本中的待测抗原与固相载体上的捕获抗体反应形成”固相载体-捕获抗体-待测抗原“复合物,清洗后,再加入标记抗体,形成”固相载体-捕获抗体-待测抗原-标记抗体“双抗体夹心复合物,检测信号与样本中待测抗原的量成正相关。反应原理如下图:双抗原夹心法:样本中的待测抗体与固相载体上的捕获抗原反应形成”固相载体-捕获抗原-待测抗体“复合物,清洗后,再加入标记抗原,形成”固相载体-捕获抗原-待测抗体-标记抗原“双抗原夹心复合物,检测信号与样本中待测抗体的量成正相关。反应原理如下图:由于夹心法需要对抗体或抗原进行标记,抗体用酶或者发光物质标记后一般情况下不会影响稳定性,但是抗原用酶或发光物质标记后容易导至构象变化导至稳定性下降,因此夹心法也有变体模式,主要体现在标记端,反应原理如下:双抗体夹心法:需要待测抗原的抗原决定簇数量≥2个,抗原决定簇一般由四到八个氨基酸残基组成,一个氨基酸的平均分子量为110Da,因此待测抗原的最小分子量为880Da,但是实际情况下由于空间位阻原因,因此待测抗原的分子量要远远大于880Da。笔者目前遇到的最小待测抗原约为2kd(个人观点,仅供参考)。双抗原夹心法:由于待测抗体为同型二价抗体,因此捕获抗原和标记抗原需要含有共同的抗原决定簇。如果在原料搭配时,发现没有信号,有一种可能性就是捕获抗原和标记抗原缺乏共同的抗原决定簇(个人观点,仅供参考)。优点:(1)两种抗体均为特异性结合,灵敏度高;(2)由于使用了两种不同的抗体,夹心法可以降低非特异性结合,特异性好;(3)夹心法信号值和浓度值的比例关系很好,因此曲线宽、线性好;(4)同时反应原理简单,易于操作。缺点:(1)易受RF、异嗜性抗体、人抗动物抗体等干扰物质的影响,需要加入阻断剂或者对原料进行改造,成本高。(2)使用夹心法检测抗体时,检测的是样本中的总抗体,无法对抗体的种类进行区分(该点有时也是优点)。(3)抗原进行标记时容易改变构象,引起沉淀或者稳定性下降。总之,夹心法是一种高灵敏度和高特异性的免疫检测方法,适用于多种生物样本的分析。然而,其成功与否依赖于抗体的质量和选择,且在某些情况下可能受到样本中其他成分的干扰。因此,在实际应用中,需要综合考虑其优缺点,选择合适的检测方法。 间接法检测IgG:样本中的待测抗体与固相载体上的捕获抗原反应形成”固相载体-捕获抗原-待测抗体“复合物,清洗后,再加入标记二抗,形成”固相载体-捕获抗原-待测抗体-标记二抗“复合物,检测信号与样本中待测抗体的量成正相关。反应原理如下图:间接法:需要区分抗体的类别,特别是检测样本中的IgG型抗体时,一般首选间接法(标记二抗选择抗人IgG抗体);有时也使用间接法检测IgM型抗体(标记二抗选择抗人IgM抗体)。使用间接法检测IgG型抗体时,需要考虑IgM型抗体的干扰,因此需要筛选对IgM型抗体交叉反应小的二抗(抗人IgG抗体)。使用间接法检测IgM型抗体时,需要考虑在体系中增加去除IgG型抗体的措施(比如添加IgG去除试剂等)。PS:二抗通常是指用于识别和结合一抗(Primary Antibody)的抗体。优点:(1)灵敏度高,通过二抗与一抗的结合,可以实现信号的放大,提高检测的灵敏度。(2)灵活度高,二抗作为标记物可以多个项目共用,且成本较低。(3)间接法的基本原理相对简单,通常只需使用一个抗原和一个通用二抗。这种简化的体系使得实验设计和操作更为直观,降低了实验的复杂性。缺点:(1)一般特异性较差,主要是由于固相载体如果吸附了抗体,则必然会导至假阳性,因此使用间接法时,需要重点优化固相。(2)可能的交叉反应,如果二抗不够特异,可能会导至交叉反应,从而影响结果的准确性。总之,间接法是一种灵活且有效的免疫检测方法,广泛应用于临床和研究领域。尽管存在一些缺点,但通过适当的实验设计和优化,间接法仍然是许多免疫检测中的首选方法。免疫测定原理-捕获法捕获法检测IgM抗体:样本中的待测抗体与固相载体上的捕获二抗(抗人IgM,抗μ链)反应形成”固相载体-捕获二抗-待测抗体“复合物,清洗后,再加入标记抗原,形成”固相载体-捕获二抗-待测抗体-标记抗原“复合物,检测信号与样本中待测抗体的量成正相关。反应原理如下图:捕获法:主要用于IgM型抗体或者IgA型抗体的检测(为了避免样本中IgG型抗体的干扰)。IgM型抗体主要在感染的早期产生,因此适用于传染性疾病(病毒性感染)的早期诊断。优点:(1)特异性好,检测IgM型抗体时一般需要稀释,可以降低干扰物质的浓度。(2)灵敏度高,捕获法能够检测到低浓度的IgM抗体,主要是由于IgM的效价高,只要捕获到一分子的IgM就结合多个抗原产生信号(理论上IgM型抗体为10价)。(3)捕获法的基本原理相对简单,固相载体可以共用,可以降低实验的复杂性,并且成本较低。缺点:(1)需要对抗原进行标记,需要摸索最优条件以降低标记对抗原的影响。(2)需要稀释,导至检测时间较长。(3)容易受IgG抗体的影响。(4)捕获法的测量范围较窄,且稀释不呈线性。总之,捕获法检测IgM抗体具有高特异性和灵敏度,适合早期感染的诊断,但也面临需要对抗原进行标记、检测时间长和信号干扰等挑战。在实际应用中,需要综合考虑这些优缺点,以选择合适的检测方法。
|
声明:
1、凡本网注明“来源:小桔灯网”的所有作品,均为本网合法拥有版权或有权使用的作品,转载需联系授权。
2、凡本网注明“来源:XXX(非小桔灯网)”的作品,均转载自其它媒体,转载目的在于传递更多信息,并不代表本网赞同其观点和对其真实性负责。其版权归原作者所有,如有侵权请联系删除。
3、所有再转载者需自行获得原作者授权并注明来源。