立即注册找回密码

QQ登录

只需一步,快速开始

微信登录

微信扫一扫,快速登录

搜索

Nature medicine! 指尖血干血点进行AD标志物检测的评估

2026-1-20 11:42| 编辑: 沙糖桔| 查看: 903| 评论: 0|来源: 小桔灯网|作者:动力彩虹

摘要: 本研究的发现证明了利用毛细血管干血点分析检测AD病理和神经退行性变生物标志物的可行性和良好前景。

血液生物标志物,特别是磷酸化tau蛋白217位点(p-tau217)、胶质纤维酸性蛋白(GFAP)和神经丝轻链(NfL),已成为检测AD病理和神经退行性变的准确工具,为影像学和脑脊液(CSF)分析等传统方法提供了微创替代方案。然而,目前基于静脉采血的检测方法虽已极大简化,但采集需要专业医护人员进行静脉穿刺,且样本需要立即离心和温控运输/储存。这些物流复杂性限制了其在更广泛的研究和临床环境,尤其是资源有限或偏远地区中的应用,因此,开发一种更简化的采样方法对于推动AD的早期筛查、疾病监测和新型疗法评估至关重要。


近日,来自瑞典、德国、西班牙等全球多个研究机构联合在杂志Nature Medicine上发表了一篇题为“A minimally invasive dried blood spot biomarker test for the detection of Alzheimer’s disease pathology”的文章。作者在7个欧洲中心共招募了337名参与者,以评估从指尖血干血点中关键AD病理和神经退行性生物标志物-血浆p-tau217, NfL和GFAP的量化。本研究证明了p-tau217、GFAP和NfL在毛细血管干血点样本与静脉血浆样本之间的高度一致性,以及其与疾病阶段和CSF病理的相关性,支持了这种微创方法在研究和流行病学调查中的价值。它尤其适合于大规模人群筛查、预防性试验的参与者招募、地理偏远或医疗服务可及性差的地区研究。


图片来源:Nature Medicine



主要内容




1


‌研究方法概述

DROP-AD项目共招募了来自欧洲7个研究中心的337名参与者。参与者包括认知未受损(CU)、轻度认知障碍(MCI)、AD痴呆和非AD痴呆患者,以及唐氏综合征伴或不伴AD相关认知障碍的个体。每位参与者同时采集指尖毛细血管血(制成干血斑(DBS)或干血浆斑(DPS))和标准静脉血,采集后的干血卡在室温下干燥,无需温控运输至瑞典中心实验室。实验室采用超灵敏免疫分析法检测两种样本中p-tau217、GFAP和NfL的浓度,并进行对比。


2


毛细血管DPS与静脉血浆 p-tau217存在高度相关性‌


在252名参与者中,配对的DPS与静脉血浆p-tau217呈现高度显著的相关性(斯皮尔曼相关系数 rS = 0.74, P < 0.001)(下图a)。这种强相关性在不同研究中心之间有少许差别,相关性强度在哥德堡中心rS=0.904,布雷西亚中心rS=0.838,巴塞罗那中心rS=0.735,埃克塞特中心rS=0.765,Malmö队列因检测平台不同,相关性为rS=0.429。


此外,作者还研究了毛细血管生物标志物与认知测试的关系,结果显示,DPS p-tau217与认知功能(MMSE分数)呈负相关(rS = -0.37),与年龄呈正相关(rS = 0.33),其模式与静脉血浆p-tau217相似,静脉血 p-tau217与MMSE分数rS = -0.41,与年龄rS = 0.32 (图 b和c)。


毛细血管和静脉血浆p-tau217与认知和年龄的相关性研究。图片来源:Nature Medicine


3


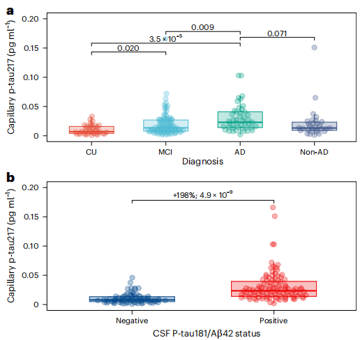
毛细管DPS p-tau217的诊断准确性


与CU和非AD痴呆相比,DPS p-tau217在MCI和AD中显著增加(图a),且随着临床疾病严重程度的增加而逐步升高(CU < MCI < AD)。在预测CSF生物标志物(Aβ42/p-tau181)阳性方面,DPS p-tau217显示出良好的判别能力(图b),曲线下面积(AUC)为0.864,但这一准确性显著低于同组中静脉血浆p-tau217的AUC(0.982)。


研究还进一步探索了基于CSF阳性状态的诊断临界值,采用双临界值策略(90%敏感性临界值0.01 pg/mL和90%特异性临界值0.02 pg/mL),可以对约70%参与者做出明确分类,阴性预测值为0.833,阳性预测值为0.884,总体准确率为86.2%。而处于中间“灰色地带”的参与者则需要进一步确认性检测。


毛细血管中 p-tau217 水平及其与临床诊断的关系。图片来源:Nature Medicine


4


毛细血管DBS中的其他生物标志物GFAP和NfL


研究团队还从毛细血管DBS/DPS中检测到了GFAP和NfL。毛细血管GFAP与静脉血浆GFAP高度相关(r = 0.77)(图a),且与认知功能和年龄的相关模式与静脉血浆GFAP一致(图b-c)。对于NfL,Telimmune DPS卡最为适用,其毛细血管NfL与静脉血浆NfL也呈强相关(r = 0.83)(图d),并且与年龄和认知功能的关系与静脉血浆结果相似(图e-f)。


毛细血管GFAP和NfL与静脉血浆检测、认知及年龄之间的关联。图片来源:Nature Medicine


5


‌非监督式自我采集的初步验证‌


在30名参与者中进行的初步对比显示,由研究人员监督采集和参与者随后自行采集的毛细血管样本,其p-tau217和GFAP浓度没有显著差异。这为未来实现完全远程、自我管理的家庭样本采集提供了初步的可行性证据。



总结与讨论



本研究的发现证明了利用毛细血管干血点分析检测AD病理和神经退行性变生物标志物的可行性和良好前景。p-tau217、GFAP和NfL在毛细血管样本与静脉血浆样本之间的高度一致性,以及其与疾病阶段和CSF病理的相关性,支持了这种微创方法在研究和流行病学调查中的价值。它尤其适合于大规模人群筛查、预防性试验的参与者招募、地理偏远或医疗服务可及性差的地区研究。

但本研究也有一定局限性。首先,这是一项原理验证性研究,所有毛细血管采样均在研究中心由专业人员完成;自我采集在真实世界家庭环境中的大规模可行性仍需进一步验证。其次,实验过程中有15-25%的毛细血管样本采集失败,提示需要优化采血技术和培训。此外,从干血卡洗脱出的蛋白浓度显著低于静脉血浆,目前尚无法精确校正稀释倍数。然而,尽管有前景,目前还不推荐将干血点分析用于临床应用,因为毛细血管源性和静脉血样本在分析性能和诊断准确性方面还存在差异,进一步的方法改进和验证将是必不可少的。


声明:
1、凡本网注明“来源:小桔灯网”的所有作品,均为本网合法拥有版权或有权使用的作品,转载需联系授权。
2、凡本网注明“来源:XXX(非小桔灯网)”的作品,均转载自其它媒体,转载目的在于传递更多信息,并不代表本网赞同其观点和对其真实性负责。其版权归原作者所有,如有侵权请联系删除。
3、所有再转载者需自行获得原作者授权并注明来源。

最新评论

关闭

官方推荐 上一条 /3 下一条

客服中心 搜索 洽谈合作
返回顶部