短读长全基因组测序,适合作为哪些疾病的一线检测?
2026-4-20 15:48|
编辑: 沙糖桔|
查看: 196|
评论: 0|来源: 小桔灯网|作者:动力彩虹
摘要: 这项来自丹麦的真实世界研究,作者证明了短读长全基因组测序作为疑似单基因病的一线检测工具,具有可标准化性和现实诊断收益,总体得到了20%的诊断率。 ...
随着测序成本持续下降、分析流程不断标准化,短读长全基因组测序(srWGS) 正逐步走向临床一线检测。相比单基因测序、靶向panel、外显子组测序等方法,srWGS的最大吸引力在于它可以在一次检测中同时覆盖SNV、InDel、部分拷贝数变异、结构变异和重复扩增等多类遗传变异,还可以在初始报告后重新分析新的基因。从而缩短了遗传性疾病患者的诊断过程。但srWGS在不同疾病人群中的诊断表现如何,哪些人群受益,哪些人群可能并不是最优适应证,明确这些问题对于srWGS真正大规模进入临床常规、对于诊断中心以及患者都至关重要。
近日,丹麦奥胡斯大学医院在杂志European Journal of Human Genetics 上发表了一篇题为“Short-read genome sequencing at population scale: diagnostic insights from 2317 patients”的文章,本研究纳入了2021至2024年间 2317名疑似单基因病患者,覆盖心血管、儿科罕见病、神经遗传病、免疫缺陷、内分泌、胎儿医学、皮肤遗传病、听力遗传病等多个方向,系统评估了srWGS作为一线诊断工具的大规模落地情况。结果显示,总体诊断率为 20%,但不同疾病类别差异极大,最低为儿童肿瘤患者 6%,最高则可达遗传性皮肤病患者 60%。该研究分析了 15 个患者类别中的诊断率,并为未来诊断策略的设计提供了参考。 图片来源:European Journal of Human Genetics
本研究基于丹麦国家基因组中心(DNGC)建设过程中的实施项目,建立了由临床医生、临床实验室专家、由丹麦医学协会组织任命的代表以及患者组织组成的全国专家网络,以指导全基因组测序的实施。全基因组测序的患者群体选择涉及了18个患者类别,时间跨度为45个月,最终对2317名患者完成了srWGS并出具临床报告。患者覆盖了心血管、儿科罕见病、神经遗传病、免疫缺陷、内分泌、胎儿医学、皮肤遗传病、听力遗传病等多个方向(如下图)。所有检测均在认证实验室完成,分析流程涵盖SNV/小InDel识别,也逐步纳入结构变异、重复扩增及SMN1/SMN2拷贝数分析等能力。
各患者类别的人口统计学特征。图片来源:European Journal of Human Genetics
研究将“解释性结果”定义为发现了与患者表型相匹配、且遗传模式也一致的C4(Likely Pathogenic)或C5(Pathogenic)变异,即基本可解释患者临床表现的致病或可能致病变异。以此为标准,2317例患者的总体诊断率为20%。平均每5名接受srWGS的患者中,大约有1名获得了明确的分子诊断。但不同患者类别的诊断率差异非常明显(如下图)。 C3 变异(Variants of Uncertain Significance)的报告实践在不同患者群体中也存在差异。在患有遗传性心脏病、先天性免疫缺陷、遗传性癌症、血液病或内分泌疾病患者中,20%至50%的患者有C3变异。相比之下,在其余患者群体中,C3的报告比例仅为 3%至 14%。
各患者类别中具有解释性发现或部分发现的临床报告所占百分比。图片来源:European Journal of Human Genetics
作者进一步分析了不同疾病类别数据,结果显示,不同患者类别的诊断率差异非常明显,遗传性皮肤病最高,为60%;儿童肿瘤最低,仅6%(如上图)。其他常见类别中,儿童罕见病总体诊断率较高,遗传性心脏病、神经遗传病、免疫缺陷病等居中,而某些成人肿瘤/遗传肿瘤、肾病、精神科儿童青少年患者等类别因样本量较小或入组较晚,也表现出较大波动。这些结果说明了,srWGS在不同临床场景中,所能带来的分子诊断收益差别非常大。srWGS价值高度依赖患者选择和疾病谱特征。
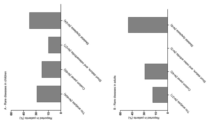
对于儿童罕见病、骨骼发育异常等人群,更适合WGS一线使用 作者进一步针对特定的患者群体,如儿童和成人的罕见病患者进行了分析,以评估诊断率的变化(如下图)。儿童罕见病疑似患者均采用trio分析策略,即父母-先证者三联体检测。结果显示,这一策略在儿童罕见病队列中具有29%的总体诊断率,在儿童骨骼发育异常亚组中,诊断率可进一步提高到38%。在成人罕见病队列中,疑似单基因性骨骼发育异常的小样本亚组诊断率可达到50%。这些结果表明了,对于表型明确、单基因病可能性高、需要同时兼顾SNV/CNV/结构变异识别的疾病群体,WGS往往比更局限的panel或WES更适合一线使用。儿童罕见病患者往往存在明显遗传病线索,以trio为核心的一线srWGS可以兼顾诊断效率与解释能力。
特定亚组患者的诊断率。图片来源:European Journal of Human Genetics
神经遗传病和内分泌患者诊断率可观,但不同亚型内部差异大 神经遗传病是另一个非常值得关注的领域。研究共纳入248例神经遗传患者,总体诊断率为 20%。不同亚型之间有明显差异,癫痫、神经病变、基底节神经疾病等亚组的诊断率较高,约在 23%–28%;肌无力、共济失调、遗传性痉挛性截瘫等亚组相对较低;其中痴呆、ALS/FTD以及小血管病亚组整体只有7%(图 C)。 该研究还纳入了135名内分泌患者,总体诊断率为 12%。在8个内分泌亚组中,部分疾病亚型诊断率接近 18%,例如性发育异常、单基因糖尿病、罕见甲状腺疾病;但另一些亚组,如器质性低血糖,诊断率则接近 0%(图 D)。 特定亚组患者的诊断率。图片来源:European Journal of Human Genetics
srWGS单样本测序成本的快速下降是srWGS走向一线的重要现实基础,意味着在经济上开始具备现实可行性,特别是当患者本来就存在显著遗传异质性、后续很可能经历多轮补充检测时,一次性完成更全面的srWGS,反而可能更便宜高效。WGS很强大,但如果没有良好的临床分层和患者选择机制,就可能出现实际诊断率不如预期的情况。尤其在神经系统疾病领域,不同亚型的遗传架构差异极大。本研究可以帮助临床系统判断哪些专科值得优先布局srWGS,哪些专科则需要先进一步优化入组标准、表型分层或检测路线。 在大规模WGS落地中,除了明确的致病结果,还应该考虑怎样处理不确定意义变异(C3 )和次要发现。不同患者类别在C3变异的报告策略上并不完全一致。这并不只是某类病更容易出VUS,更反映了不同学科对C3的报告容忍度不同。有的场景中,由于临床决策敏感且验证难度高,C3变异的报告就会更加谨慎。当WGS从科研转向临床,一线难题包含了准备怎样和患者谈不确定结果,怎样决定哪些偶然发现该不该报,谁来承担解释责任。在大规模WGS落地前,这些都必须事先做好规划。
这项来自丹麦的真实世界研究,作者证明了短读长全基因组测序作为疑似单基因病的一线检测工具,具有可标准化性和现实诊断收益,总体得到了20%的诊断率。这意味着,srWGS是足以进入常规诊疗决策的成熟工具。但本研究的结果还显示,一线srWGS不是对所有人群都同样高效。儿童罕见病、骨骼发育异常、部分神经遗传病和皮肤遗传病是明显受益者;而儿童肿瘤、部分内分泌或某些神经退行性疾病亚组的收益则相对有限。 本研究结果还提示,WGS不只是一个实验室项目,而是一个医疗体系项目,真正决定WGS临床价值的,不只是平台性能,还需要统一的知情同意与数据治理框架,需要明确的不确定结果与次要发现管理规范,也需要临床-实验室-生信之间长期稳定的协作机制。未来提高诊断率的方向,可能包括更严格的患者选择、更好的跨机构数据共享、更高质量的自动化再分析,以及长读长测序对重复扩增、伪基因区域、甲基化差异和复杂结构变异的进一步补充。这对当前正处于基因组医学加速落地阶段的国内临床遗传和分子诊断体系来说,具有很强的现实参考意义。
|
声明:
1、凡本网注明“来源:小桔灯网”的所有作品,均为本网合法拥有版权或有权使用的作品,转载需联系授权。
2、凡本网注明“来源:XXX(非小桔灯网)”的作品,均转载自其它媒体,转载目的在于传递更多信息,并不代表本网赞同其观点和对其真实性负责。其版权归原作者所有,如有侵权请联系删除。
3、所有再转载者需自行获得原作者授权并注明来源。