阿尔茨海默病(AD)是最常见的痴呆形式,特征包括淀粉样斑块和大脑中过度磷酸化的tau缠结。诊断AD是一个多方面和多学科的方法,包括病史、认知测试、淀粉样蛋白PET扫描,有时还需要脑脊液(CSF)样本来测量淀粉样蛋白β或tau。血浆生物标志物为筛查和诊断、分层、监测疾病进展和评估治疗反应提供了成本和时间效益低的微创工具。已提出的生物标志物包括淀粉样蛋白-β (Aβ40、Aβ42及其比值)、磷酸化tau (p-tau181和p-tau217)、胶质纤维酸性蛋白(GFAP)和神经丝轻链(NfL)。p-tau217已被证明是一种有价值的生物标志物,可用于预测DMT患者的认知能力下降和监测治疗效果。
尽管血浆生物标志物,特别是p-tau217,作为临床工具显示出巨大的希望,但对于可能影响血液中这些生物标志物浓度的非疾病相关因素知之甚少,包括年龄和性别,也包括行为因素,如活动、姿势和饮食,还包括24小时节律性等。然而,在实施血浆生物标志物时,还没有考虑到一天中时间的影响,这可能会影响临床决策。
近日,杂志Translational Psychiatry上发表了一篇题为“P-tau217 and other blood biomarkers of dementia: variation with time of day”的文章。作者研究了一组异质性的参与者,包括轻度临床阿尔茨海默病(PLWA)患者、他们的照顾者和认知完整的老年人,研究在24小时的过程中,痴呆症相关大脑生物标志物的血浆水平是否发生了变化。结果发现一天中的时间对p-tau217、Aβ40、Aβ42和NfL有显著影响。对于p-tau217,在早晨醒来时观察到最低水平,在下午/傍晚时观察到最高水平。p-tau217的日变化幅度与报道的淀粉样蛋白β阳性轻度认知障碍患者p-tau217在一年内的增加幅度相似。
图片来源:Translational Psychiatry
作者在一个27小时的实验室方案中研究了38名参与者,样本采集相隔12小时或在睡眠-觉醒周期存在的情况下,每3小时采集一次共24小时的血液样本。研究人群包括轻度阿尔茨海默病患者(PLWA, n = 8)、PLWA的伴侣/照顾者(n = 6)和认知完整的老年人(n = 24)。采用单分子阵列技术测定p-tau217、Aβ40、Aβ42、GFAP和NfL。
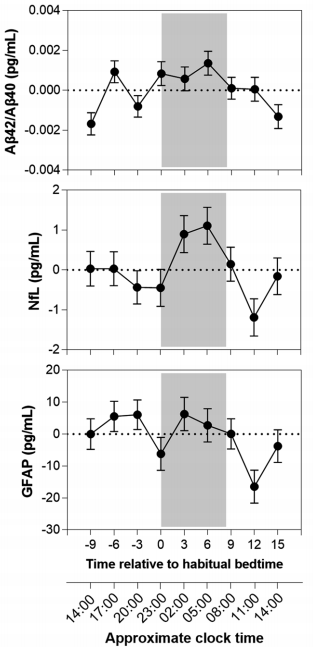
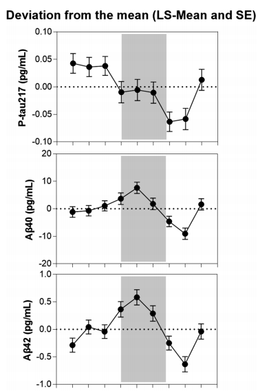
24小时内血浆生物标志物的水平。
图片来源:Translational Psychiatry
节律研究结果显示,除了GFAP (p = 0.065)外,所有生物标志物都存在显著的时间效应(p < 0.01)(如下表)。上图显示了所有参与者在24小时内的血浆生物标志物水平(LS表示与平均值的偏差)。血浆p-tau217 在早晨和醒来后不久达到最低值,之后在下午和晚上达到最高值。与就寝前3小时的样本相比,醒来后的前两个样本中的p-tau217浓度显著降低(p < 0.0001)。Aβ40、Aβ42和NfL的峰值出现在睡眠期间,最低水平出现在早晨。日变化幅度为:14.0% (Aβ40), 15.3% (Aβ42), 4.6% (Aβ42/ Aβ40), 10.6% (NfL), 17.0% (GFAP)和15.8% (p-tau217)。
9个时间点上血浆生物标志物的PROC混合分析总结。
图片来源:Translational Psychiatry
组间差异显著的是p-tau217(p = 0.003)(如下图),在PLWA中观察到的水平最高,组别对GFAP的影响接近显著(p = 0.069)。任何生物标志物都未观察到显著的组-时间相互作用。对于p-tau217,从LS-mean(0.233)估计PLWA的日变化幅度是认知完整成人平均值(0.349)和PLWA(1.215)差异的27%。
队列在24小时内的血浆p-tau217(LS-means)水平。
图片来源:Translational Psychiatry
包含协变量(年龄、性别、BMI、PSQI、PSG-AHI)的模型分析
当将协变量(年龄、性别、BMI、PSQI、PSG-AHI)加入模型并应用于9个时间点时,时间对p-tau217、Aβ40、Aβ42、Aβ42/ Aβ40和NfL的影响仍然显著。年龄对GFAP有显著影响(p = 0.036)。性别、BMI、PSQI或PSG-AHI对任何生物标志物均无显著影响。
包含协变量的混合分析总结。
图片来源:Translational Psychiatry
在这里,作者发现痴呆研究中常用的血浆生物标志物包括p-tau217、Aβ40、Aβ42、Aβ42/Aβ40和NfL的水平随着一天中的时间而变化。结果显示p-tau217、NfL、Aβ40、Aβ42和 Aβ42/ Aβ40在一天中有显著的时间变化,对GFAP的影响接近显著性,日变化幅度在4.6%至15.8%之间。血浆中Aβ40的日变化为14.0%,Aβ42的日变化为15.3%。Aβ40和Aβ42在夜间睡眠时最高,在清醒时最低。对于NfL,在睡眠期间也观察到最高的值,在上午中段最低,在下午/晚上和上午相对稳定。需要更大的样本量来进一步确定这种日变化的精确形状以及生物标志物之间的差异。虽然观察到的时间效应可能看起来很小,但当它们被置于疾病或治疗监测的背景下时,它们就变得具有临床意义。
目前研究结果表明,在考虑对痴呆症的血浆生物标志物进行采样以监测疾病进展或治疗结果时,一天中的时间很重要。因此,在清晨诊所获得的样本可能与在下午或晚上诊所获得的结果不同。无论是为了诊断还是为了纵向监测其临床状况,采集样本的时间都应标准化,或至少记录下来。建议在禁食和早晨收集的样本中建立与神经退行性痴呆相关的生物标志物的参考限,并相应地收集痴呆诊断样本。